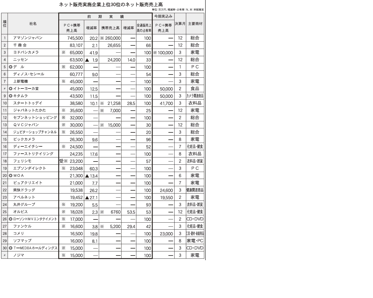
月刊ネット販売調べ 2013年度のネット販売市場、主要300社で2兆6662億円
2014年09月26日 20:05
2014年09月26日 20:05
この続きは、『通販新聞』のご購読者様のみ閲覧いただけます。
ご購読者様は、ログイン後すぐにウェブ上でこの続きを閲覧いただけます。

週刊通販新聞とは
わが国唯一の通販市場の週刊専門紙です。通信販売業界の健全発展推進を編集ポリシーとし、様々な情報を詳しくお伝え致します。
